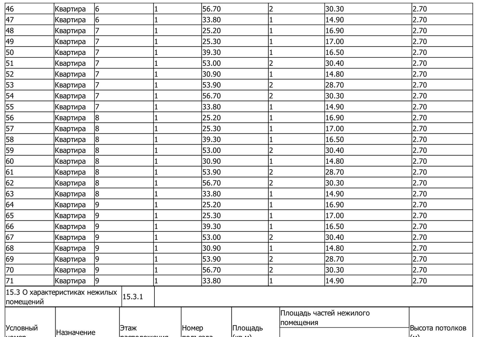
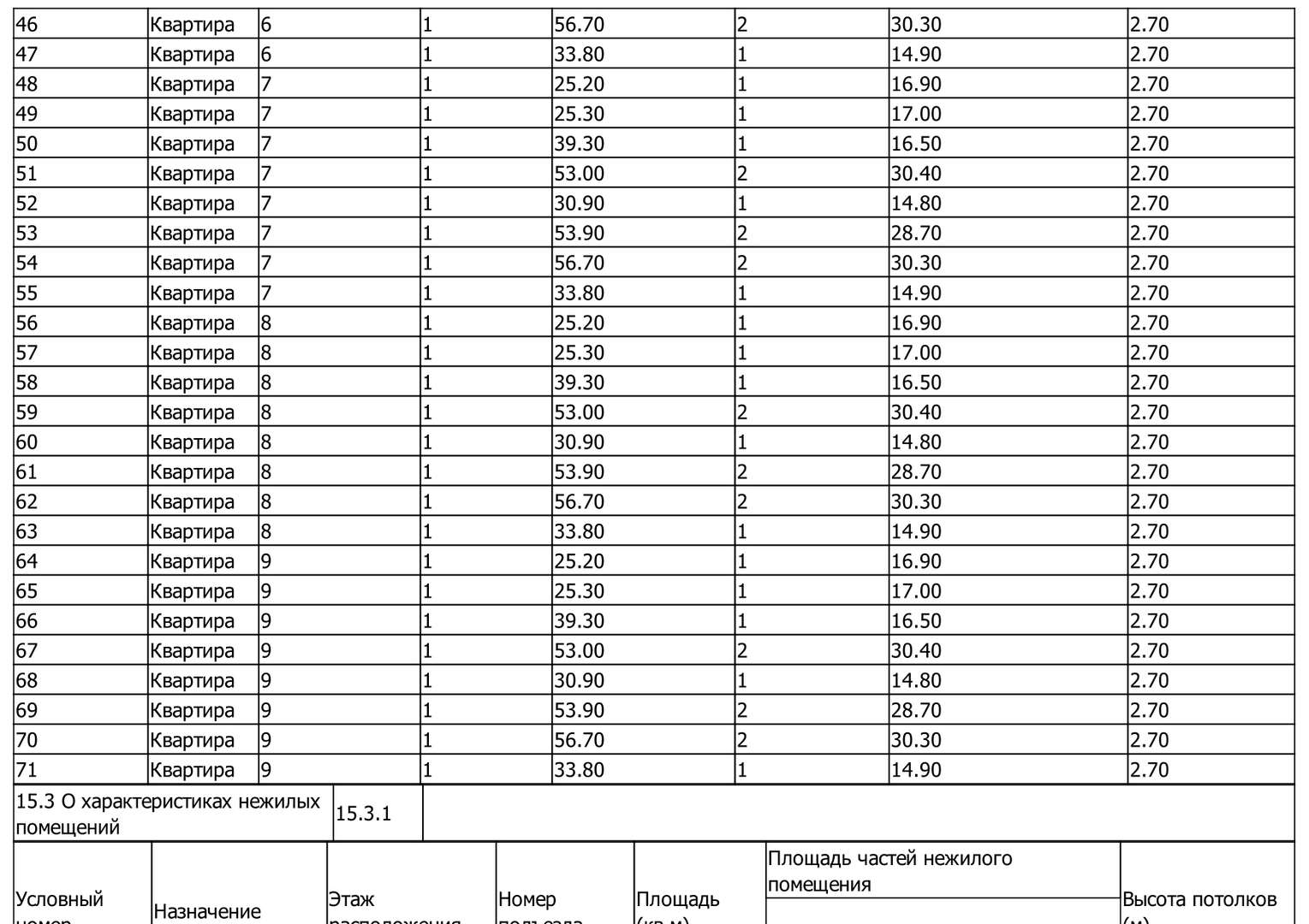
Проектная декларация "Многоэтажные жилые дома А-34" (ЖК "Перемена")

Объект "Многоэтажные жилые дома, А-34" (ЖК "Перемена")

Хотите купить квартиру? Позвоните нам!
Проконсультируем и проведем бесплатную экскурсию! +7 (846) 331-3000
Оставить заявку
Связаться с нами
+7 (846) 331-3000 info@k-inc.ru
Вся предоставляемая на сайте информация, касающаяся технических характеристик, наличия и стоимости, носит информационный характер и ни при каких условиях не является публичной офертой, определяемой положениями ст.437(2) Гражданского кодекса РФ. Для получения подробной информации о наличии и стоимости указанных на сайте квартир обращайтесь в отдел продаж по телефону: (846) 331-3000. Проектные декларации по всем объектам размещены на сайте https://наш.дом.рф
Заказ звонка
Заполните обязательные поля формы
Нажимая на кнопку «Отправить», Вы даете согласие на обработку персональных данных в соответствии с политикой конфиденциальности

Запрос отправлен! Мы свяжемся с Вами в ближайшее время